Abstract

Introduction:
Based on data in children, the presence of obesity may be associated with a milder variant of sickle cell disease. Data in children suggests that patients able to attain a normal or above normal body mass index (BMI) have better health outcomes than patients with low BMI. The association between BMI and severity of sickle disease in adults is less well studied. The present retrospective study aims to examine the association between increasing body mass index and markers of disease and flare severity in adults with sickle cell disease.
Methods:
A retrospective chart review was conducted at a tertiary care hospital from 2010 to 2016. Data on 156 patients was collected. Data collected included BMI, complete blood counts (on admission and baseline at prior visit), lactate dehydrogenase levels (LDH), serum chemistries and medications administered during hospitalization. BMI was examined as a continuous variable as well as categorical, with patients split into normal weight (BMI 20-25), underweight (BMI <20) and obese categories (BMI >25).
Results:
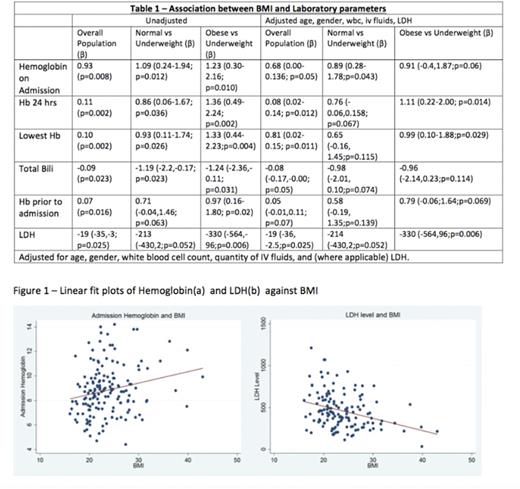
Of the 156 individuals included in the study, 29 (19%) were underweight, 81 (52%) were normal weight and 46 (29%) were obese. Increasing BMI was associated with increased admission hemoglobin (β=0.93;p=0.008) (Figure 1a), a higher value of lowest hemoglobin during hospitalization (β=0.10; p=0.023) and lower values of LDH (β=-19; p=0.025) (Figure 1b). As compared to underweight individuals, obese or normal weight individuals tended to have higher values of hemoglobin throughout hospitalization, as well as lower values of LDH, although this was not consistent across all study subgroups (Table 1).
Discussion:
The present study suggests that the presence of obesity, or indeed normal weight status is associated with improved laboratory parameters in adult patients with sickle cell disease. It is possible that obesity or normal weight status is a protective risk factor characterized by milder sickle crises. However, the presence of milder disease characteristics (as determined by higher hemoglobin and lower LDH levels) may represent a milder variant of sickle cell disease that "allows" patients to achieve normal or above normal body weights. A greater understanding of the mechanism underlying this phenomenon is required in order to determine optimal therapeutic strategies and clinical impact.
No relevant conflicts of interest to declare.
Author notes
Asterisk with author names denotes non-ASH members.

This icon denotes a clinically relevant abstract

This feature is available to Subscribers Only
Sign In or Create an Account Close Modal